PF REPORTS JUDGE  TO JCC FOR FAILURE TO DELIVER JUDGMENTS

Zimbabwe News Update

🇿🇼 Published: 02 February 2026
📘 Source: Zambian Observer

Zambian Observer
Zambian Observer News

JUDGE REPORTED TO JCC FOR FAILURE TO DELIVER JUDGMENTS

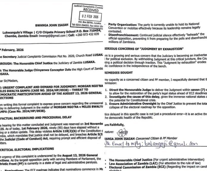
When a Consent Agreement was entered into in May 2025, to emd the crisis in the Patriotic Front between Miles Sampa and Raphael Nakacinda, Justice Conceptor Chinyanwa Zulu a High Court judge, strangely refused to sign the consent.

When public pressure was brought to bear, she claimed she couldn’t approve the Consent Agreement as she had admitted expelled Mafinga MP, Robert Chabi

Zambian Observer
Zambian Observer News

2066.jpg?resize=696%2C1000&ssl=1″ alt=”Zambian Observer”>

Zambian Observer News
nga to the matter and wanted to hold full trial.

She held a full trial and has still refused to deliver Judgement.

She has been reported to Judicial Complaints Commission for the unethical conduct of delaying the cases regarding the Patriotic Front party.



A formal complaint by a citizen was filed to the JCC on Monday, 2nd February 2026.

We should remember that Justice Emelia Phiri Sunkutu in June 2025, resigned just one week after being suspended by President Hichilema.

Her suspension was based on JCC recommendations regarding an alleged failure to deliver judgments and other misconduct.

📖 Continue Reading
This is a preview of the full article. To read the complete story, click the button below.

Read Full Article on Zambian Observer

AllZimNews aggregates content from various trusted sources to keep you informed.

📰 Article Attribution
Originally published by Zambian Observer • February 02, 2026

Powered by
AllZimNews

By Hope